Thursday marked an important anniversary: It was one year since Donald Trump summoned the press corps to the White House Rose Garden — before its destruction — to declare “Liberation Day.” That afternoon in 2025, with his shellacked coif flapping against his bronzed forehead in the wind, the president held up hastily-assembled poster boards bearing the names of the world’s countries and territories.
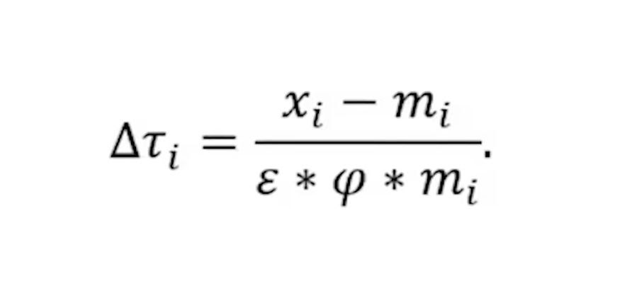
Trump announced he was imposing “reciprocal” tariffs on all of them, even the ones with which the U.S. had a trade surplus — America’s trading partners, its adversaries, tiny countries that are basically subsistence economies and even small islands inhabited only by penguins which, to the best of anyone’s knowledge, are not involved in foreign trade. The tariffs were large and had no legitimate rationale, the numbers seemingly drawn at random. When asked for the formula that was used to determine how each country would be charged, the White House provided this:

This “formula,” it was quickly discovered, actually just represented the trade deficit with each country. It didn’t capture trade in services — only goods, skewing the numbers substantially. (The U.S. leads the world in exporting services.) There was no deep analysis performed by the Treasury or Commerce departments. They simply plugged in the numbers they could easily find, fudged the rest and threw it on a poster board.
The effects of Trump’s tariff agenda are evident. One year later, inflation is up, the American economy is weakening and his poll numbers are in the basement.
The effects of Trump’s tariff agenda are evident. One year later, inflation is up, the American economy is weakening and his poll numbers are in the basement.
According to the most recent CNN poll, his approval rating stands at 35%. But it’s his numbers on the economy, which has always been his strongest issue, that are the most significant. Sixty-five percent of Americans surveyed said that his policies are making the economy worse. More surprisingly, his economic approval rating among Republicans has dropped 14% since January.
On Feb. 20, the Supreme Court found many of the president’s tariffs unconstitutional in a 6-3 decision. Trump called the ruling a “disgrace” and attacked the Court, saying it “has been swayed by foreign interests.” He reserved particular ire for Justices Neil Gorsuch and Amy Coney Barrett, both of whom he had appointed. He promised to slap 10% and 15% tariffs on every country, and he has since balked at refunding the money that American companies have paid to the government as a result of the tariffs over the past year. (That too is being litigated.)
Despite his anger, Trump doesn’t seem to care about the immediate. As I recently wrote, he is only concerned with how he will be memorialized. He made this even more clear when, on the April 2 anniversary of Liberation Day, he announced a new round of tariffs — some that reached 100% — on name-brand pharmaceuticals, along with making adjustments to tariffs on steel and aluminum products.
Trump’s understanding of trade deficits is poor; he equates them to the budget deficit, and he has never understood that you don’t trade equal amounts of the same things to each country. He believes that if a nation exports cars to the U.S., they should be obligated to import the same number of cars, or pay a huge tariff to make up for it. This is something he’s believed for over 40 years, and there’s no talking him out of it.
The announcement immediately triggered a global stock market panic, resulting in the largest decline since 2020, when the stock market crashed during the Covid-19 pandemic. Over the next two days the Dow fell 9.48%, the S&P 500 dropped 10% and the Nasdaq declined 11%. Everything fell: oil prices, the dollar, even gold, because investors were shocked by how unsophisticated and draconian the policy was. Trump had only been in office a little over two months.
Seven days later, just hours after urging Americans to “Be Cool” and musing that he might make the tariffs permanent in a Truth Social post, he “paused” most of them for 90 days, saying that everybody was getting a bit “yippy.” The markets were thrilled at the unexpected news, and what became known as the TACO (Trump Always Chickens Out) reaction began.
Want more sharp takes on politics? Sign up for our free newsletter, Standing Room Only, written by Amanda Marcotte, now also a weekly show on YouTube or wherever you get your podcasts.
His impulsive use of tariffs to punish anyone who looks at him sideways and to reward friends who, say, gift him with gold bars and expensive airplanes, became a game of expectations and market manipulations that continues to this day. People are openly trading on what can only be inside information about the U.S.-Israeli war in Iran, and it appears that nothing will be done about it. The well connected are now making big bank on the TACO dynamic.
The immediate consequence of the tariff regime put the American economy into suspended animation. Paul Krugman, the Nobel Prize-winning economist and columnist, dubbed this period the “Trump freeze” as the job market abruptly seized up. Businesses were unable to anticipate what the president might do from day to day, and hiring almost came to a standstill. “Trump may claim that we are economically ‘the hottest country in the world,’” Krugman wrote, “but the truth is that we last had a hot labor market back in 2023-4.” This has been instrumental in creating the infamous “K shaped economy,” where the rich get richer while the middle-class and the poor find themselves in a downward spiral.
The president’s recent military actions in Venezuela and Iran — and his threats against countries including Cuba and Mexico — have spooked the markets again, raising gas prices as well as the specter of recession, stagflation and worse.
The promised manufacturing boom that was supposed to happen as a result of the tariffs hasn’t arrived, and despite Trump’s wildly inflated lies about increased foreign investment, in reality it simply hasn’t happened. According to NPR, “official government tallies show that foreign direct investment last year was $288 billion — slightly less than the previous year and below average for the last 10 years.”
We need your help to stay independent
Inflation, which had already come down sharply under Joe Biden — yet nonetheless spelled doom for Kamala Harris and Democrats in 2024 — is higher today than it was the day Biden left office. With the energy spike from Trump’s misguided war in Iran, it will almost certainly continue to increase. And in the “You can’t make this stuff up” category, NPR reported that “imports seesawed last year as U.S. businesses tried to stockpile goods before tariffs took effect or whenever the import tax rate was temporarily reduced but over the course of 2025, Americans actually imported slightly more goods than they did the previous year, before Trump’s tariffs took effect.”
A year on, it’s obvious this has been a completely pointless, unconstitutional, counterproductive policy that has dragged down the American economy, which was just emerging from the crisis caused by Covid-19.
Calling such presidential debacles someone’s “Katrina” has been overdone. But in this case, it’s apt. Trump already had one during his first term, when he fumbled the response to the pandemic. Apparently that wasn’t enough for him — or us. Today he’s juggling an ailing economy, domestic unrest and a big war in the Middle East, and it’s all of his own doing.
You’re doing a heckuva job, Trumpie.
Read more
about Trump’s tariffs